The RCHK Truth
LATEST Y9 OSCARS 2026 GENERAL SCHOOL OPINION CULTURE & ARTS SCIENCE & TECH SPORTS LAVA YOUNG TRUTH TEACHER SPOTLIGHT
YEAR 7 NEWS UNIT CARTOONS UNHELPFUL UNCLE THE REAL REAL CAREERS ODYSSEY X TRUTH SPORTS SPLASH The Vector Column
LATESTY9 OSCARS 2026GENERALSCHOOLOPINIONCULTURE & ARTSSCIENCE & TECHSPORTSLAVAYOUNG TRUTHTEACHER SPOTLIGHT SPECIAL FEATURES YEAR 7 NEWS UNIT CARTOONS UNHELPFUL UNCLE THE REAL REAL CAREERS ODYSSEY X TRUTH SPORTS SPLASH The Vector Column
The RCHK Truth
Verity. Voice. Vision.

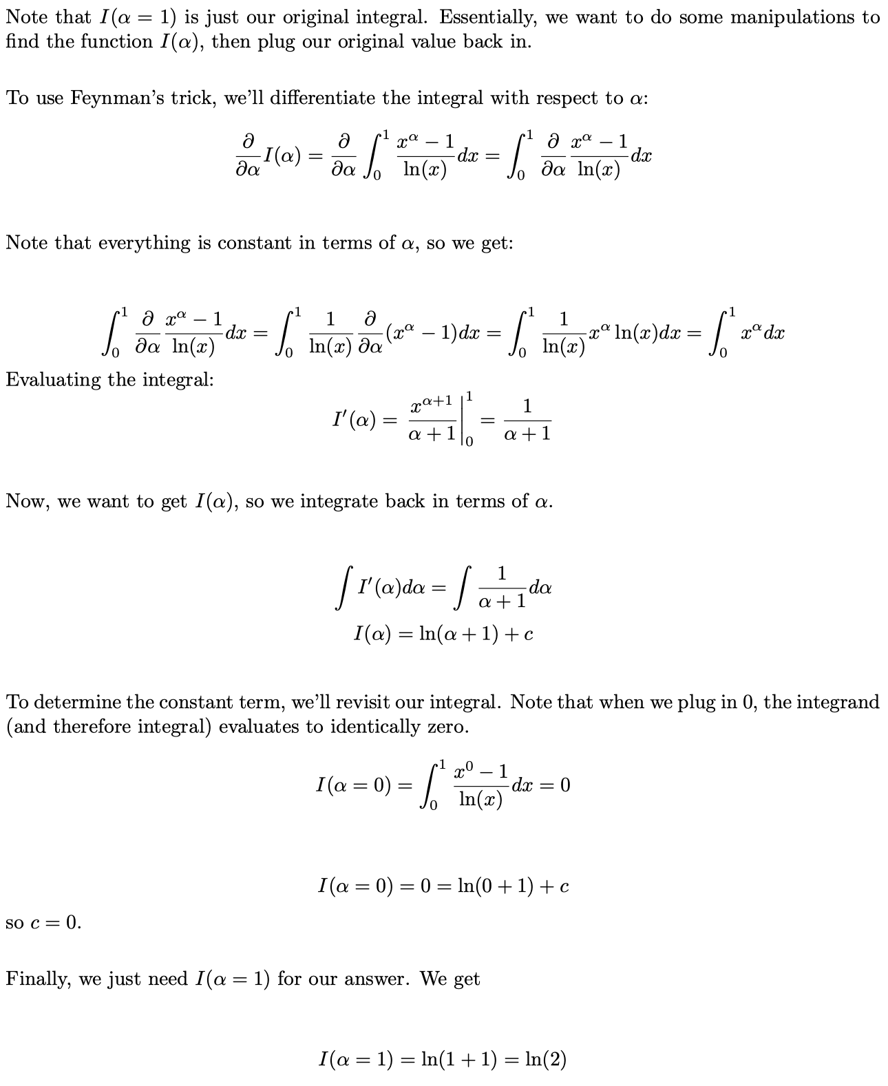
Feynman's trick: differentiating under the integral sign

By Ryan Ng

Renaissance CollegeMarch 13, 2024
Facebook0 Twitter LinkedIn0 Reddit 0 Likes
Previous

Functional Equations

Renaissance CollegeMay 18, 2024
Next

Pigeonhole Principle

Renaissance CollegeFebruary 2, 2024
Sign upSubscribeContact